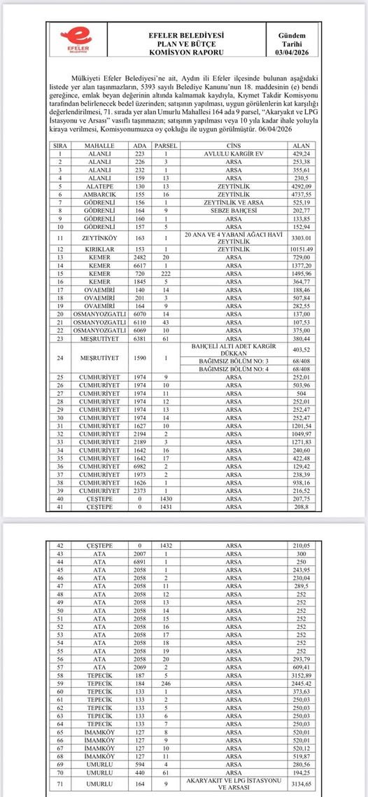
Efeler Belediyesi’ne ait taşınmazlarla ilgili Plan ve Bütçe Komisyonu’nda önemli bir karar alındı. Komisyonun 3 Nisan’daki toplantısında hazırlanan rapora göre, belediye ait 71 taşınmazın emlak beyan değerinin altında kalmamak kaydıyla, Kıymet Takdir Komisyonu tarafından belirlenecek bedel üzerinden satışının yapılması kararlaştırıldı.
71 TAŞINMAZ SATILIYOR
Satışı uygun görülen taşınmazlar arasında Cumhuriyet, Meşrutiyet, Ata, Kemer Osman Yozgatlı, Ovaeymir, Umurlu, Tepecik, İmamköy, Çeştepe, Alanlı, Gödrenli, Ambarcık, Zeytinköy ve Kırıklar mahallelerinde bulunan kevgir ev, arsa, zeytinlik, dükkan ve bağımsız bölümler bulunuyor. Buna ek olarak, listede yer alan Umurlu Mahallesi 164 ada 9 parseldeki “Akaryakıt ve LPG İstasyonu ve Arsası” vasıflı taşınmaz için özel bir karar alındı. Raporda, söz konusu taşınmazın satışının yapılabileceği veya 10 yıla kadar ihale yoluyla kiraya verilebileceği ifade edildi. Plan ve Bütçe Komisyonu tarafından hazırlanan rapor 06/04/2026 tarihinde oy çokluğuyla uygun bulundu.
“HİZMET YOK, BORÇ VAR”
Efeler Belediyesi’nin taşınmaz satışı kararına tepki gösteren AK Parti İl Gençlik Kolları Başkanı Ömür Özipek, belediyenin temel hizmetlerde yetersiz kaldığını belirterek, cenaze hizmetlerinden ilaçlamaya kadar birçok alanda başarısız olunduğunu dile getirdi. Belediyenin çareyi taşınmaz satışında bulduğunu belirten Özipek, şunları söyledi: “Efeler’de tablo açık: Cenaze hizmetlerini beceremediler devrettiler, ilaçlama yapamadılar devretmeye çalışıyor, borç büyüyor… Çözüm diye ise belediyenin taşınmazları satışa çıkarılıyor! Hizmet üretmeyen CHP belediyeciliğinin klasik sonucu: Yönetemeyince devret veya sat. Efeler hizmet bekliyor, belediye satış ilanı veriyor.”





