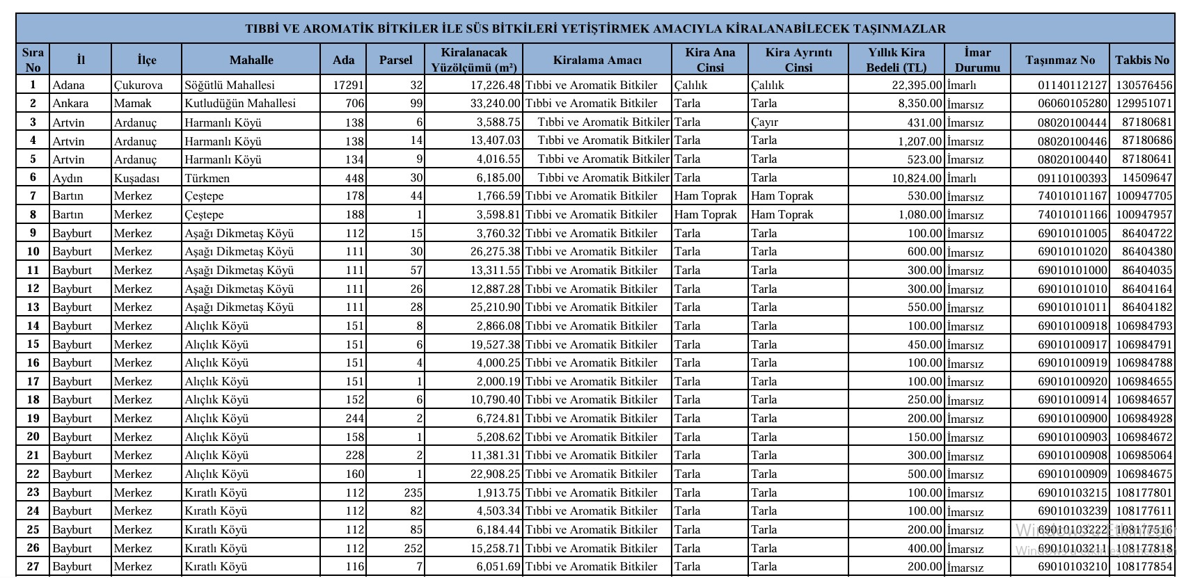
Çevre, Şehircilik ve İklim Değişikliği Bakanlığı’na bağlı Milli Emlak Genel Müdürlüğü, farklı illerde bulunan çeşitli niteliklerdeki 128 taşınmazı, tıbbi-aromatik ve süs bitkileri yetiştirilmesi amacıyla kiraya verecek. Bu kapsamda Aydın’da da bir taşınmaz yer aldı.
Kuşadası ilçesi Türkmen Mahallesi’nde bulunan, 448 ada 30 parseldeki 6 bin 185 metrekare büyüklüğündeki tarla vasfındaki taşınmaz, yıllık 10 bin 824 TL kira bedeliyle ihaleye çıkarıldı.

Söz konusu taşınmazları kiralamak isteyen gerçek veya tüzel kişiler, 20 Ekim - 18 Kasım tarihleri arasında Aydın Çevre, Şehircilik ve İklim Değişikliği İl Müdürlüğü’ne bağlı Milli Emlak Müdürlüğü’ne başvurabilecek.
Hazine arazileri; çok yıllık bitkiler için 10 yıla, tek yıllık bitkiler için ise 5 yıla kadar kiraya verilebilecek.




